Закрыть
Вход
Забыли пароль?
Зарегистрироваться
Войти как пользователь:

Если вы зарегистрированы на одном из этих сайтов, или у вас есть учетная запись OpenID, вы можете войти на Lokomotiv.info, используя имеющийся аккаунт.

Если у вас уже есть профиль на Lokomotiv.info, вы можете “привязать” к нему по одному аккаунту с каждого из представленных сайтов. Выберите сайт и следуйте инструкциям.

Если вы зарегистрированы на других сайтах, авторизуйтесь по протоколу OpenID:

Войти по регистрации на Lokomotiv.info:
Забыли пароль?
Зарегистрироваться
  Блоги  | Гостевая | Люди | Библиотека | Прогнозы | Мозаика | Картинки | Подписка
Прогнозы
 
Сезон 2025/2026, Матчи Локомотива
Сезон 2025/2026, Матчи команд РПЛ
Сезон 2024/2025, Матчи Локомотива
Сезон 2024/2025, Матчи команд РПЛ
Сезон 2023/2024, Матчи Локомотива
Сезон 2023/2024, Матчи команд РПЛ
Сезон 2022/2023, Матчи Локомотива
Сезон 2022/2023, Матчи команд РПЛ
Сезон 2021/2022, Матчи команд РПЛ
Сезон 2021/2022, Матчи Локомотива
Сезон 2020/2021, Матчи команд РПЛ
Сезон 2020/2021, Матчи Локомотива
Сезон 2019/2020, Матчи команд РПЛ
Сезон 2019/2020, Матчи Локомотива
Сезон 2018/2019
Сезон 2017-2018
Сезон 2016-2017
Сезон 2015-2016
Сезон 2014-2015
Продолжение сезона 2013/14
Конкурс прогнозов на матчи "Локомотива" в сезоне 2013/14.
Сезон 2012/13 года
Сезон 2011/12 года
Сезон 2010 года
Сезон 2009 года
Сезон 2008 года

  Правила конкурса прогнозов

 

 


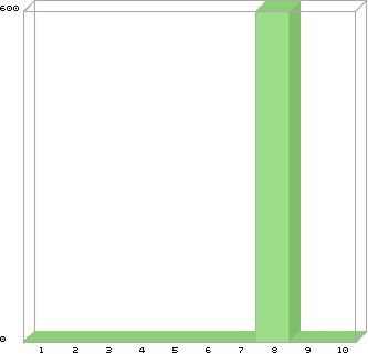
Статистика "alex22" по матчам сезона "Сезон 2011/12 года"

Матч Баллы Место
10 Чемпионат России, 24-й тур: "Терек" - "Локомотив" 0 / 800 107 / 107
9 Чемпионат России, 20-й тур: "Волга" - "Локомотив" 0 / 330 33 / 33
8 Чемпионат России, 17-й тур: "Локомотив" - "Амкар" 600 / 1300 28 / 109
7 Чемпионат России, 15-й тур: ЦСКА - "Локомотив" 0 / 1062 64 / 64
6 Чемпионат России, 9-й тур: "Локомотив" - "Терек" 0 / 450 88 / 88
5 Чемпионат России, 8-й тур: "Зенит" - "Локомотив" 0 / 520 95 / 95
4 Чемпионат России, 6-й тур: "Краснодар" - "Локомотив" 0 / 856 96 / 96
3 Чемпионат России, 3-й тур: "Локомотив" - "Ростов" 0 / 383 53 / 53
2 ЧЕ-2012, отборочные матчи: сборная Армении - сборная России 0 / 730 62 / 62
1 Чемпионат России, 2-й тур: "Амкар" - "Локомотив" 0 / 640 40 / 40
График выигранных баллов по всем матчам сезона

График занятого места по всем матчам сезона

 

О проекте | В помощь новичку | Техподдержка | Обратная связь | Баннеры сайта | Реклама на сайте | Каталог ссылок
При использовании материалов ссылка на lokomotiv.info - обязательна