Закрыть
Вход
Забыли пароль?
Зарегистрироваться
Войти как пользователь:

Если вы зарегистрированы на одном из этих сайтов, или у вас есть учетная запись OpenID, вы можете войти на Lokomotiv.info, используя имеющийся аккаунт.

Если у вас уже есть профиль на Lokomotiv.info, вы можете “привязать” к нему по одному аккаунту с каждого из представленных сайтов. Выберите сайт и следуйте инструкциям.

Если вы зарегистрированы на других сайтах, авторизуйтесь по протоколу OpenID:

Войти по регистрации на Lokomotiv.info:
Забыли пароль?
Зарегистрироваться
  Блоги  | Гостевая | Люди | Библиотека | Прогнозы | Мозаика | Картинки | Подписка
Прогнозы
 
Сезон 2025/2026, Матчи Локомотива
Сезон 2025/2026, Матчи команд РПЛ
Сезон 2024/2025, Матчи Локомотива
Сезон 2024/2025, Матчи команд РПЛ
Сезон 2023/2024, Матчи Локомотива
Сезон 2023/2024, Матчи команд РПЛ
Сезон 2022/2023, Матчи Локомотива
Сезон 2022/2023, Матчи команд РПЛ
Сезон 2021/2022, Матчи команд РПЛ
Сезон 2021/2022, Матчи Локомотива
Сезон 2020/2021, Матчи команд РПЛ
Сезон 2020/2021, Матчи Локомотива
Сезон 2019/2020, Матчи команд РПЛ
Сезон 2019/2020, Матчи Локомотива
Сезон 2018/2019
Сезон 2017-2018
Сезон 2016-2017
Сезон 2015-2016
Сезон 2014-2015
Продолжение сезона 2013/14
Конкурс прогнозов на матчи "Локомотива" в сезоне 2013/14.
Сезон 2012/13 года
Сезон 2011/12 года
Сезон 2010 года
Сезон 2009 года
Сезон 2008 года

  Правила конкурса прогнозов

 

 


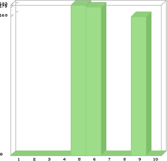
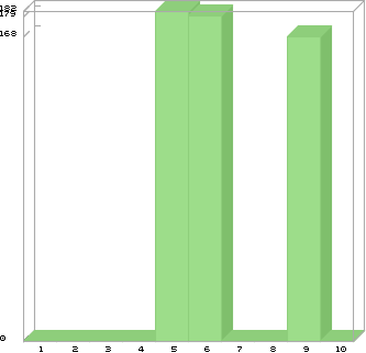
Статистика "Элечка" по матчам сезона "Сезон 2008 года"

Матч Баллы Место
10 Чемпионат России, 27-й тур: Локомотив - Динамо 0 / 400 28 / 28
9 Чемпионат России, 26-й тур: Амкар - Локомотив 168 / 800 9 / 37
8 Чемпионат России, 25-й тур: Локомотив - Химки 0 / 2200 24 / 24
7 Кубок России. 1/8 финала. Локомотив - Витязь 0 / 520 29 / 29
6 Чемпионат России, 22-й тур: Луч-Энергия - Локомотив 179 / 1750 24 / 38
5 Чемпионат России, 21-й тур: Спартак (Нальчик) - Локомотив 182 / 865 23 / 45
4 Чемпионат России, 20-й тур: Локомотив - ЦСКА 0 / 700 25 / 25
3 Чемпионат России, 19-й тур: Терек - Локомотив 0 / 660 23 / 23
2 Сборные, товарищеский матч: Россия - Голландия 0 / 1238 36 / 36
1 Чемпионат России, 18-й тур: Локомотив - Сатурн 0 / 995 29 / 29
График выигранных баллов по всем матчам сезона

График занятого места по всем матчам сезона

 

О проекте | В помощь новичку | Техподдержка | Обратная связь | Баннеры сайта | Реклама на сайте | Каталог ссылок
При использовании материалов ссылка на lokomotiv.info - обязательна