Закрыть
Вход
Забыли пароль?
Зарегистрироваться
Войти как пользователь:

Если вы зарегистрированы на одном из этих сайтов, или у вас есть учетная запись OpenID, вы можете войти на Lokomotiv.info, используя имеющийся аккаунт.

Если у вас уже есть профиль на Lokomotiv.info, вы можете “привязать” к нему по одному аккаунту с каждого из представленных сайтов. Выберите сайт и следуйте инструкциям.

Если вы зарегистрированы на других сайтах, авторизуйтесь по протоколу OpenID:

Войти по регистрации на Lokomotiv.info:
Забыли пароль?
Зарегистрироваться
  Блоги  | Гостевая | Люди | Библиотека | Прогнозы | Мозаика | Картинки | Подписка
Прогнозы
 
Сезон 2025/2026, Матчи Локомотива
Сезон 2025/2026, Матчи команд РПЛ
Сезон 2024/2025, Матчи Локомотива
Сезон 2024/2025, Матчи команд РПЛ
Сезон 2023/2024, Матчи Локомотива
Сезон 2023/2024, Матчи команд РПЛ
Сезон 2022/2023, Матчи Локомотива
Сезон 2022/2023, Матчи команд РПЛ
Сезон 2021/2022, Матчи команд РПЛ
Сезон 2021/2022, Матчи Локомотива
Сезон 2020/2021, Матчи команд РПЛ
Сезон 2020/2021, Матчи Локомотива
Сезон 2019/2020, Матчи команд РПЛ
Сезон 2019/2020, Матчи Локомотива
Сезон 2018/2019
Сезон 2017-2018
Сезон 2016-2017
Сезон 2015-2016
Сезон 2014-2015
Продолжение сезона 2013/14
Конкурс прогнозов на матчи "Локомотива" в сезоне 2013/14.
Сезон 2012/13 года
Сезон 2011/12 года
Сезон 2010 года
Сезон 2009 года
Сезон 2008 года

  Правила конкурса прогнозов

 

 


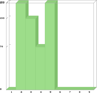
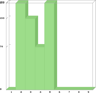
Статистика "BANO.90" по матчам сезона "Сезон 2008 года"

Матч Баллы Место
9 Чемпионат России, 21-й тур: Спартак (Нальчик) - Локомотив 0 / 865 45 / 45
8 Сборные, квалификация ЧМ 2010: Россия - Уэльс 0 / 758 62 / 62
7 Чемпионат России, 17-й тур: Крылья Советов - Локомотив 0 / 800 28 / 28
6 Кубок РЖД. Полуфиналы. Локомотив - Челси 0 / 1120 40 / 40
5 Чемпионат России, 15-й тур: ФК Москва - Локомотив 159 / 2386 66 / 89
4 Чемпионат России, 9-й тур: Зенит - Локомотив 78 / 488 29 / 45
3 Чемпионат России, 14-й тур: Локомотив - Спартак 130 / 1680 56 / 78
2 Чемпионат России, 13-й тур: Динамо - Локомотив 158 / 408 20 / 56
1 Чемпионат России, 12-й тур: Локомотив - Амкар 0 / 1485 40 / 40
График выигранных баллов по всем матчам сезона

График занятого места по всем матчам сезона

 

О проекте | В помощь новичку | Техподдержка | Обратная связь | Баннеры сайта | Реклама на сайте | Каталог ссылок
При использовании материалов ссылка на lokomotiv.info - обязательна