Закрыть
Вход
Забыли пароль?
Зарегистрироваться
Войти как пользователь:

Если вы зарегистрированы на одном из этих сайтов, или у вас есть учетная запись OpenID, вы можете войти на Lokomotiv.info, используя имеющийся аккаунт.

Если у вас уже есть профиль на Lokomotiv.info, вы можете “привязать” к нему по одному аккаунту с каждого из представленных сайтов. Выберите сайт и следуйте инструкциям.

Если вы зарегистрированы на других сайтах, авторизуйтесь по протоколу OpenID:

Войти по регистрации на Lokomotiv.info:
Забыли пароль?
Зарегистрироваться
  Блоги  | Гостевая | Люди | Библиотека | Прогнозы | Мозаика | Картинки | Подписка
Прогнозы
 
Сезон 2025/2026, Матчи Локомотива
Сезон 2025/2026, Матчи команд РПЛ
Сезон 2024/2025, Матчи Локомотива
Сезон 2024/2025, Матчи команд РПЛ
Сезон 2023/2024, Матчи Локомотива
Сезон 2023/2024, Матчи команд РПЛ
Сезон 2022/2023, Матчи Локомотива
Сезон 2022/2023, Матчи команд РПЛ
Сезон 2021/2022, Матчи команд РПЛ
Сезон 2021/2022, Матчи Локомотива
Сезон 2020/2021, Матчи команд РПЛ
Сезон 2020/2021, Матчи Локомотива
Сезон 2019/2020, Матчи команд РПЛ
Сезон 2019/2020, Матчи Локомотива
Сезон 2018/2019
Сезон 2017-2018
Сезон 2016-2017
Сезон 2015-2016
Сезон 2014-2015
Продолжение сезона 2013/14
Конкурс прогнозов на матчи "Локомотива" в сезоне 2013/14.
Сезон 2012/13 года
Сезон 2011/12 года
Сезон 2010 года
Сезон 2009 года
Сезон 2008 года

  Правила конкурса прогнозов

 

 


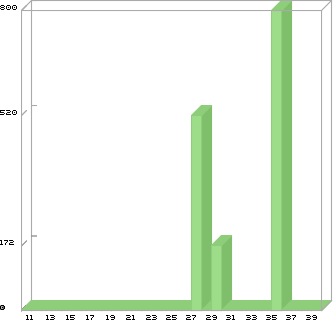
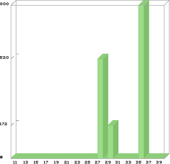
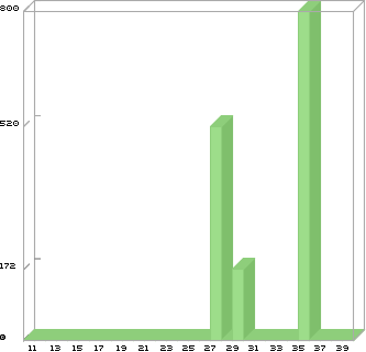
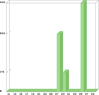
Статистика "Mag" по матчам сезона "Сезон 2008 года"

Матч Баллы Место
40 Чемпионат России, 30-й тур: Рубин - Локомотив 0 / 1328 33 / 33
39 Чемпионат России, 29-й тур: Локомотив - Москва 0 / 1600 33 / 33
38 Чемпионат России, 28-й тур: Спартак - Локомотив 0 / 881 35 / 35
37 Чемпионат России, 27-й тур: Локомотив - Динамо 0 / 400 28 / 28
36 Чемпионат России, 26-й тур: Амкар - Локомотив 800 / 800 1 / 37
35 Чемпионат России, 25-й тур: Локомотив - Химки 0 / 2200 24 / 24
34 Сборные, квалификация ЧМ 2010: Россия - Финляндия 0 / 563 40 / 40
33 Сборные, квалификация ЧМ 2010: Германия - Россия 0 / 584 35 / 35
32 Чемпионат России, 24-й тур: Томь - Локомотив 0 / 719 47 / 47
31 Чемпионат России, 23-й тур: Локомотив - Зенит 0 / 2100 29 / 29
30 Кубок России. 1/8 финала. Локомотив - Витязь 172 / 520 10 / 29
29 Чемпионат России, 22-й тур: Луч-Энергия - Локомотив 0 / 1750 38 / 38
28 Чемпионат России, 21-й тур: Спартак (Нальчик) - Локомотив 520 / 865 4 / 45
27 Сборные, квалификация ЧМ 2010: Россия - Уэльс 0 / 758 62 / 62
26 Чемпионат России, 19-й тур: Терек - Локомотив 0 / 660 23 / 23
25 Сборные, товарищеский матч: Россия - Голландия 0 / 1238 36 / 36
24 Чемпионат России, 18-й тур: Локомотив - Сатурн 0 / 995 29 / 29
23 Чемпионат России, 17-й тур: Крылья Советов - Локомотив 0 / 800 28 / 28
22 Кубок России. 1/16 финала. Металлург - Локомотив 0 / 306 35 / 35
21 Кубок РЖД. Финал. Локомотив - Севилья 0 / 900 24 / 24
20 Кубок РЖД. Полуфиналы. Локомотив - Челси 0 / 1120 40 / 40
19 Чемпионат России, 15-й тур: ФК Москва - Локомотив 0 / 2386 89 / 89
18 Чемпионат России, 9-й тур: Зенит - Локомотив 0 / 488 45 / 45
17 Чемпионат России, 14-й тур: Локомотив - Спартак 0 / 1680 78 / 78
16 Чемпионат России, 13-й тур: Динамо - Локомотив 0 / 408 56 / 56
15 Чемпионат России, 12-й тур: Локомотив - Амкар 0 / 1485 40 / 40
14 Сборные, ЕВРО 2008, 1/2 финала: Россия - Испания 0 / 1000 32 / 32
13 Сборные, ЕВРО 2008: Голландия - Россия 0 / 664 39 / 39
12 Сборные, ЕВРО 2008: Россия - Швеция 0 / 1095 68 / 68
11 Сборные, ЕВРО 2008: Россия - Греция 0 / 422 52 / 52
График выигранных баллов по всем матчам сезона

График занятого места по всем матчам сезона

 

О проекте | В помощь новичку | Техподдержка | Обратная связь | Баннеры сайта | Реклама на сайте | Каталог ссылок
При использовании материалов ссылка на lokomotiv.info - обязательна