Закрыть
Вход
Забыли пароль?
Зарегистрироваться
Войти как пользователь:

Если вы зарегистрированы на одном из этих сайтов, или у вас есть учетная запись OpenID, вы можете войти на Lokomotiv.info, используя имеющийся аккаунт.

Если у вас уже есть профиль на Lokomotiv.info, вы можете “привязать” к нему по одному аккаунту с каждого из представленных сайтов. Выберите сайт и следуйте инструкциям.

Если вы зарегистрированы на других сайтах, авторизуйтесь по протоколу OpenID:

Войти по регистрации на Lokomotiv.info:
Забыли пароль?
Зарегистрироваться
  Блоги  | Гостевая | Люди | Библиотека | Прогнозы | Мозаика | Картинки | Подписка
Прогнозы
 
Сезон 2025/2026, Матчи Локомотива
Сезон 2025/2026, Матчи команд РПЛ
Сезон 2024/2025, Матчи Локомотива
Сезон 2024/2025, Матчи команд РПЛ
Сезон 2023/2024, Матчи Локомотива
Сезон 2023/2024, Матчи команд РПЛ
Сезон 2022/2023, Матчи Локомотива
Сезон 2022/2023, Матчи команд РПЛ
Сезон 2021/2022, Матчи команд РПЛ
Сезон 2021/2022, Матчи Локомотива
Сезон 2020/2021, Матчи команд РПЛ
Сезон 2020/2021, Матчи Локомотива
Сезон 2019/2020, Матчи команд РПЛ
Сезон 2019/2020, Матчи Локомотива
Сезон 2018/2019
Сезон 2017-2018
Сезон 2016-2017
Сезон 2015-2016
Сезон 2014-2015
Продолжение сезона 2013/14
Конкурс прогнозов на матчи "Локомотива" в сезоне 2013/14.
Сезон 2012/13 года
Сезон 2011/12 года
Сезон 2010 года
Сезон 2009 года
Сезон 2008 года

  Правила конкурса прогнозов

 

 


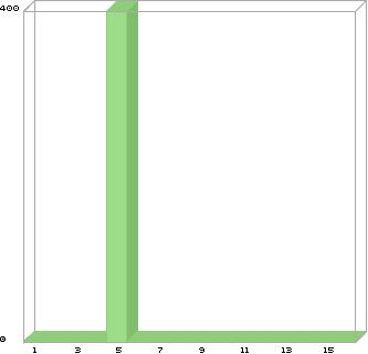
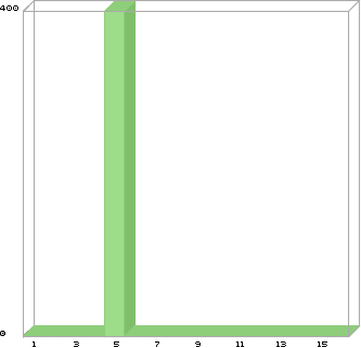
Статистика "lotar" по матчам сезона "Сезон 2009 года"

Матч Баллы Место
16 Чемпионат России, 16-й тур: "Локомотив" - "Ростов" 0 / 457 85 / 85
15 Чемпионат России, 14-й тур: "Амкар" - "Локомотив" 0 / 440 42 / 42
14 Кубок России, 1/16. "СКА-Энергия" - "Локомотив" 0 / 746 29 / 29
13 Чемпионат России, 12-й тур: "Сатурн" - "Локомотив" 0 / 625 23 / 23
12 Чемпионат России, 11-й тур: "Локомотив" - "Спартак" 0 / 780 92 / 92
11 Чемпионат России, 10-й тур: "Рубин" - "Локомотив" 0 / 448 36 / 36
10 Чемпионат России, 9-й тур: "Локомотив" - "Терек" 0 / 455 76 / 76
9 Чемпионат России, 6-й тур: "Кубань" - "Локомотив" 0 / 560 46 / 46
8 Кубок России, 1/4 финала: "Локомотив" - ЦСКА 0 / 511 47 / 47
7 Чемпионат России, 5-й тур: "Локомотив" - "Зенит" 0 / 378 50 / 50
6 Чемпионат России, 4-й тур: ЦСКА - "Локомотив" 0 / 288 40 / 40
5 Чемпионат России, 3-й тур: "Локомотив" - "Крылья Советов" 400 / 1616 16 / 100
4 Сборные, квалификация ЧМ 2010: Лихтенштейн - Россия 0 / 480 62 / 62
3 Сборные, квалификация ЧМ 2010: Россия - Азербайджан 0 / 494 78 / 78
2 Чемпионат России, 2-й тур: "Ростов" - "Локомотив" 0 / 600 42 / 42
1 Чемпионат России, 1-й тур: "Локомотив" - "Химки" 0 / 700 45 / 45
График выигранных баллов по всем матчам сезона

График занятого места по всем матчам сезона

 

О проекте | В помощь новичку | Техподдержка | Обратная связь | Баннеры сайта | Реклама на сайте | Каталог ссылок
При использовании материалов ссылка на lokomotiv.info - обязательна