Закрыть
Вход
Забыли пароль?
Зарегистрироваться
Войти как пользователь:

Если вы зарегистрированы на одном из этих сайтов, или у вас есть учетная запись OpenID, вы можете войти на Lokomotiv.info, используя имеющийся аккаунт.

Если у вас уже есть профиль на Lokomotiv.info, вы можете “привязать” к нему по одному аккаунту с каждого из представленных сайтов. Выберите сайт и следуйте инструкциям.

Если вы зарегистрированы на других сайтах, авторизуйтесь по протоколу OpenID:

Войти по регистрации на Lokomotiv.info:
Забыли пароль?
Зарегистрироваться
  Блоги  | Гостевая | Люди | Библиотека | Прогнозы | Мозаика | Картинки | Подписка
Прогнозы
 
Сезон 2025/2026, Матчи Локомотива
Сезон 2025/2026, Матчи команд РПЛ
Сезон 2024/2025, Матчи Локомотива
Сезон 2024/2025, Матчи команд РПЛ
Сезон 2023/2024, Матчи Локомотива
Сезон 2023/2024, Матчи команд РПЛ
Сезон 2022/2023, Матчи Локомотива
Сезон 2022/2023, Матчи команд РПЛ
Сезон 2021/2022, Матчи команд РПЛ
Сезон 2021/2022, Матчи Локомотива
Сезон 2020/2021, Матчи команд РПЛ
Сезон 2020/2021, Матчи Локомотива
Сезон 2019/2020, Матчи команд РПЛ
Сезон 2019/2020, Матчи Локомотива
Сезон 2018/2019
Сезон 2017-2018
Сезон 2016-2017
Сезон 2015-2016
Сезон 2014-2015
Продолжение сезона 2013/14
Конкурс прогнозов на матчи "Локомотива" в сезоне 2013/14.
Сезон 2012/13 года
Сезон 2011/12 года
Сезон 2010 года
Сезон 2009 года
Сезон 2008 года

  Правила конкурса прогнозов

 

 


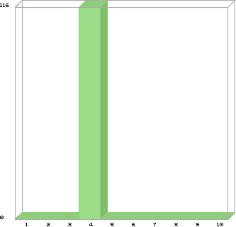
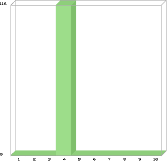
Статистика "Non Stop Train" по матчам сезона "Сезон 2014-2015"

Матч Баллы Место
10 Кубок России, финал: "Локомотив" - "Кубань" 0 / 450 9 / 9
9 Кубок России, 1/4 финала: "Локомотив" - "Рубин" 0 / 628 14 / 14
8 Чемпионат России, 16-й тур: "Локомотив" - "Урал" 0 / 560 25 / 25
7 Чемпионат России, 14-й тур: "Локомотив" - "Уфа" 0 / 393 12 / 12
6 Чемпионат России, 13-й тур: "Торпедо" - "Локомотив" 0 / 513 26 / 26
5 Лига Европы, плей-офф: "Локомотив" - "Аполлон" 0 / 1013 19 / 19
4 Чемпионат России, 5-й тур: "Кубань" - "Локомотив" 116 / 510 10 / 28
3 Лига Европы, плей-офф: "Аполлон" - "Локомотив" 0 / 900 26 / 26
2 Чемпионат России, 3-й тур: "Локомотив" - "Ростов" 0 / 390 28 / 28
1 Чемпионат России, 1-й тур: "Локомотив" - "Краснодар" 0 / 790 24 / 24
График выигранных баллов по всем матчам сезона

График занятого места по всем матчам сезона

 

О проекте | В помощь новичку | Техподдержка | Обратная связь | Баннеры сайта | Реклама на сайте | Каталог ссылок
При использовании материалов ссылка на lokomotiv.info - обязательна