Закрыть
Вход
Забыли пароль?
Зарегистрироваться
Войти как пользователь:

Если вы зарегистрированы на одном из этих сайтов, или у вас есть учетная запись OpenID, вы можете войти на Lokomotiv.info, используя имеющийся аккаунт.

Если у вас уже есть профиль на Lokomotiv.info, вы можете “привязать” к нему по одному аккаунту с каждого из представленных сайтов. Выберите сайт и следуйте инструкциям.

Если вы зарегистрированы на других сайтах, авторизуйтесь по протоколу OpenID:

Войти по регистрации на Lokomotiv.info:
Забыли пароль?
Зарегистрироваться
  Блоги  | Гостевая | Люди | Библиотека | Прогнозы | Мозаика | Картинки | Подписка
Прогнозы
 
Сезон 2025/2026, Матчи Локомотива
Сезон 2025/2026, Матчи команд РПЛ
Сезон 2024/2025, Матчи Локомотива
Сезон 2024/2025, Матчи команд РПЛ
Сезон 2023/2024, Матчи Локомотива
Сезон 2023/2024, Матчи команд РПЛ
Сезон 2022/2023, Матчи Локомотива
Сезон 2022/2023, Матчи команд РПЛ
Сезон 2021/2022, Матчи команд РПЛ
Сезон 2021/2022, Матчи Локомотива
Сезон 2020/2021, Матчи команд РПЛ
Сезон 2020/2021, Матчи Локомотива
Сезон 2019/2020, Матчи команд РПЛ
Сезон 2019/2020, Матчи Локомотива
Сезон 2018/2019
Сезон 2017-2018
Сезон 2016-2017
Сезон 2015-2016
Сезон 2014-2015
Продолжение сезона 2013/14
Конкурс прогнозов на матчи "Локомотива" в сезоне 2013/14.
Сезон 2012/13 года
Сезон 2011/12 года
Сезон 2010 года
Сезон 2009 года
Сезон 2008 года

  Правила конкурса прогнозов

 

 


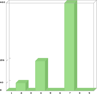
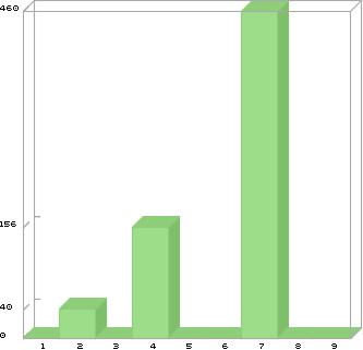
Статистика "MavR" по матчам сезона "Сезон 2009 года"

Матч Баллы Место
9 Чемпионат России, 30-й тур: "Химки" - "Локомотив" 0 / 156 42 / 42
8 Чемпионат России, 29-й тур: "Динамо" - "Локомотив" 0 / 531 47 / 47
7 Чемпионат России, 28-й тур: "Локомотив" - "Амкар" 460 / 490 2 / 71
6 Чемпионат России, 25-й тур: "Спартак" - "Локомотив" 0 / 600 20 / 20
5 Сборные, квалификация ЧМ 2010: Россия - Германия 0 / 732 24 / 24
4 Чемпионат России, 24-й тур: "Локомотив" - "Рубин" 156 / 644 34 / 67
3 Чемпионат России, 23-й тур: "Терек" - "Локомотив" 0 / 770 37 / 37
2 Сборные, товарищеский матч: Россия - Аргентина 40 / 660 34 / 43
1 Чемпионат России, 12-й тур: "Сатурн" - "Локомотив" 0 / 625 23 / 23
График выигранных баллов по всем матчам сезона

График занятого места по всем матчам сезона

 

О проекте | В помощь новичку | Техподдержка | Обратная связь | Баннеры сайта | Реклама на сайте | Каталог ссылок
При использовании материалов ссылка на lokomotiv.info - обязательна