Закрыть
Вход
Забыли пароль?
Зарегистрироваться
Войти как пользователь:

Если вы зарегистрированы на одном из этих сайтов, или у вас есть учетная запись OpenID, вы можете войти на Lokomotiv.info, используя имеющийся аккаунт.

Если у вас уже есть профиль на Lokomotiv.info, вы можете “привязать” к нему по одному аккаунту с каждого из представленных сайтов. Выберите сайт и следуйте инструкциям.

Если вы зарегистрированы на других сайтах, авторизуйтесь по протоколу OpenID:

Войти по регистрации на Lokomotiv.info:
Забыли пароль?
Зарегистрироваться
  Блоги  | Гостевая | Люди | Библиотека | Прогнозы | Мозаика | Картинки | Подписка
Прогнозы
 
Сезон 2025/2026, Матчи Локомотива
Сезон 2025/2026, Матчи команд РПЛ
Сезон 2024/2025, Матчи Локомотива
Сезон 2024/2025, Матчи команд РПЛ
Сезон 2023/2024, Матчи Локомотива
Сезон 2023/2024, Матчи команд РПЛ
Сезон 2022/2023, Матчи Локомотива
Сезон 2022/2023, Матчи команд РПЛ
Сезон 2021/2022, Матчи команд РПЛ
Сезон 2021/2022, Матчи Локомотива
Сезон 2020/2021, Матчи команд РПЛ
Сезон 2020/2021, Матчи Локомотива
Сезон 2019/2020, Матчи команд РПЛ
Сезон 2019/2020, Матчи Локомотива
Сезон 2018/2019
Сезон 2017-2018
Сезон 2016-2017
Сезон 2015-2016
Сезон 2014-2015
Продолжение сезона 2013/14
Конкурс прогнозов на матчи "Локомотива" в сезоне 2013/14.
Сезон 2012/13 года
Сезон 2011/12 года
Сезон 2010 года
Сезон 2009 года
Сезон 2008 года

  Правила конкурса прогнозов

 

 


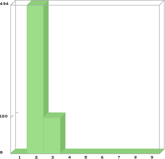
Статистика "G1HF" по матчам сезона "Сезон 2018/2019"

Матч Баллы Место
9 Чемпионат России, 26-й тур: "Локомотив" — "Енисей" 0 / 194 23 / 23
8 Чемпионат России, 25-й тур: "Ростов" -"Локомотив" 0 / 805 30 / 30
7 Чемпионат России, 24-й тур: "Локомотив" — "ЦСКА" 0 / 220 15 / 15
6 Чемпионат России, 23-й тур: "Ахмат" -"Локомотив" 0 / 1300 29 / 29
5 Кубок России 1/2 финала, первый матч: "Локомотив" - "Ростов" 0 / 218 18 / 18
4 Чемпионат России, 21-й тур: "Динамо" -"Локомотив" 0 / 413 21 / 21
3 Чемпионат России, 20-й тур: "Локомотив" — "Краснодар" 120 / 686 16 / 25
2 Чемпионат России, 19-й тур: "Анжи" -"Локомотив" 494 / 610 3 / 33
1 Кубок России, 1/4 финала, второй матч: "Рубин" - "Локомотив" 0 / 266 18 / 18
График выигранных баллов по всем матчам сезона

График занятого места по всем матчам сезона

 

О проекте | В помощь новичку | Техподдержка | Обратная связь | Баннеры сайта | Реклама на сайте | Каталог ссылок
При использовании материалов ссылка на lokomotiv.info - обязательна