Закрыть
Вход
Забыли пароль?
Зарегистрироваться
Войти как пользователь:

Если вы зарегистрированы на одном из этих сайтов, или у вас есть учетная запись OpenID, вы можете войти на Lokomotiv.info, используя имеющийся аккаунт.

Если у вас уже есть профиль на Lokomotiv.info, вы можете “привязать” к нему по одному аккаунту с каждого из представленных сайтов. Выберите сайт и следуйте инструкциям.

Если вы зарегистрированы на других сайтах, авторизуйтесь по протоколу OpenID:

Войти по регистрации на Lokomotiv.info:
Забыли пароль?
Зарегистрироваться
  Блоги  | Гостевая | Люди | Библиотека | Прогнозы | Мозаика | Картинки | Подписка
Прогнозы
 
Сезон 2025/2026, Матчи Локомотива
Сезон 2025/2026, Матчи команд РПЛ
Сезон 2024/2025, Матчи Локомотива
Сезон 2024/2025, Матчи команд РПЛ
Сезон 2023/2024, Матчи Локомотива
Сезон 2023/2024, Матчи команд РПЛ
Сезон 2022/2023, Матчи Локомотива
Сезон 2022/2023, Матчи команд РПЛ
Сезон 2021/2022, Матчи команд РПЛ
Сезон 2021/2022, Матчи Локомотива
Сезон 2020/2021, Матчи команд РПЛ
Сезон 2020/2021, Матчи Локомотива
Сезон 2019/2020, Матчи команд РПЛ
Сезон 2019/2020, Матчи Локомотива
Сезон 2018/2019
Сезон 2017-2018
Сезон 2016-2017
Сезон 2015-2016
Сезон 2014-2015
Продолжение сезона 2013/14
Конкурс прогнозов на матчи "Локомотива" в сезоне 2013/14.
Сезон 2012/13 года
Сезон 2011/12 года
Сезон 2010 года
Сезон 2009 года
Сезон 2008 года

  Правила конкурса прогнозов

 

 


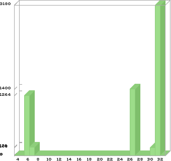
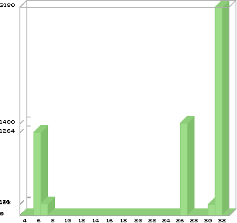
Статистика "sagittarius" по матчам сезона "Сезон 2017-2018"

Матч Баллы Место
33 Чемпионат России, 24-й тур: "Амкар" — "Локомотив" 0 / 1198 12 / 12
32 Лига Европы, 1/8 финала, 2-й матч: "Локомотив" — "Атлетико" 3180 / 3400 2 / 21
31 Чемпионат России, 22-й тур: "Урал" — "Локомотив" 168 / 626 13 / 23
30 Лига Европы, 1/8 финала, 1-й матч: "Атлетико" — "Локомотив" 0 / 280 13 / 13
29 Чемпионат России, 21-й тур: "Локомотив" — "Спартак" 0 / 722 7 / 7
28 Лига Европы, 1/16 финала, 2-й матч: "Локомотив" — "Ницца" 0 / 438 18 / 18
27 Лига Европы, 1/16 финала, 1-й матч: "Ницца" — "Локомотив" 1400 / 4780 8 / 33
26 Чемпионат России, 20-й тур: "Тосно" — "Локомотив" 0 / 800 30 / 30
25 Лига Европы, групповой этап, 6-й тур: "Злин" — "Локомотив" 0 / 980 32 / 32
24 Чемпионат России, 19-й тур: "Локомотив" — "Рубин" 0 / 478 20 / 20
23 Чемпионат России, 18-й тур: "СКА-Хабаровск" — "Локомотив" 0 / 670 20 / 20
22 Лига Европы, групповой этап, 5-й тур: "Локомотив" — "Копенгаген" 0 / 724 26 / 26
21 Чемпионат России, 17-й тур: "Анжи" — "Локомотив" 0 / 348 19 / 19
20 Чемпионат России, 16-й тур: "Локомотив" — "ЦСКА" 0 / 1260 26 / 26
19 Лига Европы, групповой этап, 4-й тур: "Локомотив" — "Шериф" 0 / 240 10 / 10
18 Чемпионат России, 15-й тур: «Зенит» — «Локомотив» 0 / 6000 23 / 23
17 Чемпионат России, 14-й тур: «Локомотив» — «Краснодар» 0 / 690 19 / 19
16 Лига Европы, групповой этап, 3-й тур: "Шериф" — "Локомотив" 0 / 264 14 / 14
15 Чемпионат России, 13-й тур: «Уфа» — «Локомотив» 0 / 192 11 / 11
14 Чемпионат России, 12-й тур: «Локомотив» — «Динамо» 0 / 840 28 / 28
13 Лига Европы, групповой этап, 2 тур: "Локомотив" - "Злин" 0 / 456 18 / 18
12 Чемпионат России, 11-й тур: «Ростов» — «Локомотив» 0 / 569 19 / 19
11 Кубок России, 1/16 финала: «Крылья Советов» — «Локомотив» 0 / 2400 13 / 13
10 Чемпионат России, 10-й тур: «Локомотив» — «Амкар» 0 / 626 7 / 7
9 Лига Европы, групповой этап, 1 тур: "Копенгаген" - "Локомотив" 0 / 664 13 / 13
8 Чемпионат России, 9-й тур: «Ахмат» — «Локомотив» 0 / 416 14 / 14
7 Чемпионат России, 8-й тур: "Локомотив" — "Урал" 176 / 640 14 / 32
6 Чемпионат России, 7-й тур: "Спартак" — "Локомотив" 1264 / 4950 7 / 39
5 Чемпионат России, 6-й тур: "Локомотив" – "Тосно" 0 / 228 8 / 8
4 Чемпионат России, 5-й тур: "Рубин" - "Локомотив" 0 / 360 34 / 34
График выигранных баллов по всем матчам сезона

График занятого места по всем матчам сезона

 

О проекте | В помощь новичку | Техподдержка | Обратная связь | Баннеры сайта | Реклама на сайте | Каталог ссылок
При использовании материалов ссылка на lokomotiv.info - обязательна