Закрыть
Вход
Забыли пароль?
Зарегистрироваться
Войти как пользователь:

Если вы зарегистрированы на одном из этих сайтов, или у вас есть учетная запись OpenID, вы можете войти на Lokomotiv.info, используя имеющийся аккаунт.

Если у вас уже есть профиль на Lokomotiv.info, вы можете “привязать” к нему по одному аккаунту с каждого из представленных сайтов. Выберите сайт и следуйте инструкциям.

Если вы зарегистрированы на других сайтах, авторизуйтесь по протоколу OpenID:

Войти по регистрации на Lokomotiv.info:
Забыли пароль?
Зарегистрироваться
  Блоги  | Гостевая | Люди | Библиотека | Прогнозы | Мозаика | Картинки | Подписка
Прогнозы
 
Сезон 2025/2026, Матчи Локомотива
Сезон 2025/2026, Матчи команд РПЛ
Сезон 2024/2025, Матчи Локомотива
Сезон 2024/2025, Матчи команд РПЛ
Сезон 2023/2024, Матчи Локомотива
Сезон 2023/2024, Матчи команд РПЛ
Сезон 2022/2023, Матчи Локомотива
Сезон 2022/2023, Матчи команд РПЛ
Сезон 2021/2022, Матчи команд РПЛ
Сезон 2021/2022, Матчи Локомотива
Сезон 2020/2021, Матчи команд РПЛ
Сезон 2020/2021, Матчи Локомотива
Сезон 2019/2020, Матчи команд РПЛ
Сезон 2019/2020, Матчи Локомотива
Сезон 2018/2019
Сезон 2017-2018
Сезон 2016-2017
Сезон 2015-2016
Сезон 2014-2015
Продолжение сезона 2013/14
Конкурс прогнозов на матчи "Локомотива" в сезоне 2013/14.
Сезон 2012/13 года
Сезон 2011/12 года
Сезон 2010 года
Сезон 2009 года
Сезон 2008 года

  Правила конкурса прогнозов

 

 


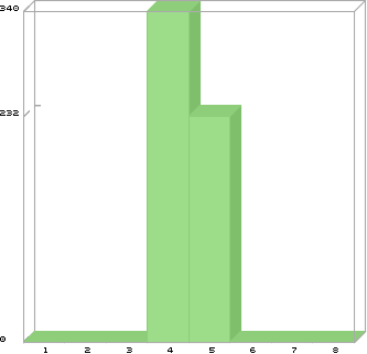
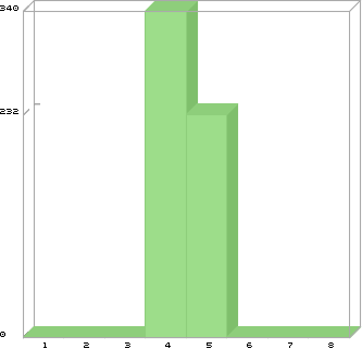
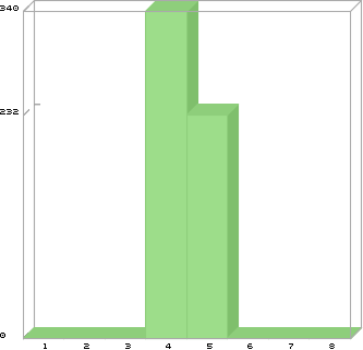
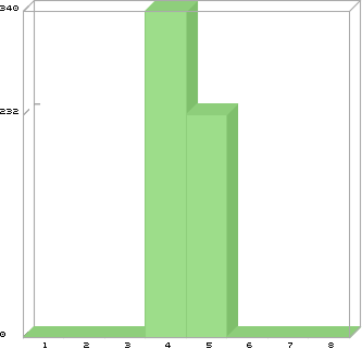
Статистика "Руслан Сардаров" по матчам сезона "Продолжение сезона 2013/14"

Матч Баллы Место
8 Чемпионат России, 30-й тур: ЦСКА - "Локомотив" 0 / 420 11 / 11
7 Чемпионат России, 28-й тур: "Локомотив" - "Зенит" 0 / 390 31 / 31
6 Чемпионат России, 25-й тур: "Локомотив" - "Анжи" 0 / 400 21 / 21
5 Чемпионат России, 24-й тур: "Локомотив" - "Волга" 232 / 568 20 / 53
4 Чемпионат России, 22-й тур: "Локомотив" - "Урал" 340 / 702 13 / 47
3 Чемпионат России, 21-й тур: "Амкар" - "Локомотив" 0 / 638 23 / 23
2 Чемпионат России, 20-й тур: "Локомотив" - "Крылья Советов" 0 / 390 33 / 33
1 Чемпионат России, 19-й тур: "Локомотив" - "Рубин" 0 / 611 22 / 22
График выигранных баллов по всем матчам сезона

График занятого места по всем матчам сезона

 

О проекте | В помощь новичку | Техподдержка | Обратная связь | Баннеры сайта | Реклама на сайте | Каталог ссылок
При использовании материалов ссылка на lokomotiv.info - обязательна