rotator.show: DBD::mysql::st execute failed: Disk full (/tmp/#sql_4d9_90.MAI); waiting for someone to free some space... (errno: 28 "No space left on device") at lib/rotator.pm line 76.
Закрыть
Вход
Забыли пароль?
Зарегистрироваться
Войти как пользователь:

Если вы зарегистрированы на одном из этих сайтов, или у вас есть учетная запись OpenID, вы можете войти на Lokomotiv.info, используя имеющийся аккаунт.

Если у вас уже есть профиль на Lokomotiv.info, вы можете “привязать” к нему по одному аккаунту с каждого из представленных сайтов. Выберите сайт и следуйте инструкциям.

Если вы зарегистрированы на других сайтах, авторизуйтесь по протоколу OpenID:

Войти по регистрации на Lokomotiv.info:
Забыли пароль?
Зарегистрироваться
  Блоги  | Гостевая | Люди | Библиотека | Прогнозы | Мозаика | Картинки | Подписка
Прогнозы
 
Сезон 2025/2026, Матчи Локомотива
Сезон 2025/2026, Матчи команд РПЛ
Сезон 2024/2025, Матчи Локомотива
Сезон 2024/2025, Матчи команд РПЛ
Сезон 2023/2024, Матчи Локомотива
Сезон 2023/2024, Матчи команд РПЛ
Сезон 2022/2023, Матчи Локомотива
Сезон 2022/2023, Матчи команд РПЛ
Сезон 2021/2022, Матчи команд РПЛ
Сезон 2021/2022, Матчи Локомотива
Сезон 2020/2021, Матчи команд РПЛ
Сезон 2020/2021, Матчи Локомотива
Сезон 2019/2020, Матчи команд РПЛ
Сезон 2019/2020, Матчи Локомотива
Сезон 2018/2019
Сезон 2017-2018
Сезон 2016-2017
Сезон 2015-2016
Сезон 2014-2015
Продолжение сезона 2013/14
Конкурс прогнозов на матчи "Локомотива" в сезоне 2013/14.
Сезон 2012/13 года
Сезон 2011/12 года
Сезон 2010 года
Сезон 2009 года
Сезон 2008 года

  Правила конкурса прогнозов

 

rotator.show: DBD::mysql::st execute failed: Disk full (/tmp/#sql_4d9_83.MAI); waiting for someone to free some space... (errno: 28 "No space left on device") at lib/rotator.pm line 76.
 
rotator.show: DBD::mysql::st execute failed: Disk full (/tmp/#sql_4d9_83.MAI); waiting for someone to free some space... (errno: 28 "No space left on device") at lib/rotator.pm line 76.

rotator.show: DBD::mysql::st execute failed: Disk full (/tmp/#sql_4d9_83.MAI); waiting for someone to free some space... (errno: 28 "No space left on device") at lib/rotator.pm line 76.
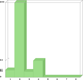
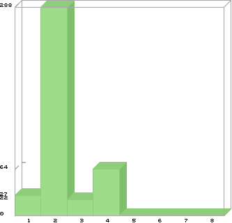
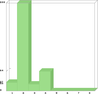
Статистика "Mashinist" по матчам сезона "Сезон 2008 года"

Матч Баллы Место
8 Чемпионат России, 10-й тур: Локомотив - Томь 0 / 300 84 / 84
7 Чемпионат России, 7-й тур: Локомотив - Спартак (Нальчик) 0 / 630 55 / 55
6 Чемпионат России, 6-й тур: ЦСКА - Локомотив 0 / 396 61 / 61
5 Чемпионат России, 5-й тур: Локомотив - Терек 0 / 600 145 / 145
4 Чемпионат России, 3-й тур: Локомотив - Крылья Советов 64 / 345 62 / 92
3 Сборные, товарищеский матч: Румыния - Россия 22 / 225 36 / 42
2 Чемпионат России, 2-й тур: Шинник - Локомотив 288 / 1036 22 / 139
1 Чемпионат России, 1-й тур: Локомотив - Рубин 27 / 432 54 / 67
График выигранных баллов по всем матчам сезона

График занятого места по всем матчам сезона

rotator.show: DBD::mysql::st execute failed: Disk full (/tmp/#sql_4d9_99.MAI); waiting for someone to free some space... (errno: 28 "No space left on device") at lib/rotator.pm line 76.

 

О проекте | В помощь новичку | Техподдержка | Обратная связь | Баннеры сайта | Реклама на сайте | Каталог ссылок
При использовании материалов ссылка на lokomotiv.info - обязательна

rotator.show: DBD::mysql::st execute failed: Disk full (/tmp/#sql_4d9_99.MAI); waiting for someone to free some space... (errno: 28 "No space left on device") at lib/rotator.pm line 76.