Закрыть
Вход
Забыли пароль?
Зарегистрироваться
Войти как пользователь:

Если вы зарегистрированы на одном из этих сайтов, или у вас есть учетная запись OpenID, вы можете войти на Lokomotiv.info, используя имеющийся аккаунт.

Если у вас уже есть профиль на Lokomotiv.info, вы можете “привязать” к нему по одному аккаунту с каждого из представленных сайтов. Выберите сайт и следуйте инструкциям.

Если вы зарегистрированы на других сайтах, авторизуйтесь по протоколу OpenID:

Войти по регистрации на Lokomotiv.info:
Забыли пароль?
Зарегистрироваться
  Блоги  | Гостевая | Люди | Библиотека | Прогнозы | Мозаика | Картинки | Подписка
Прогнозы
 
Сезон 2025/2026, Матчи Локомотива
Сезон 2025/2026, Матчи команд РПЛ
Сезон 2024/2025, Матчи Локомотива
Сезон 2024/2025, Матчи команд РПЛ
Сезон 2023/2024, Матчи Локомотива
Сезон 2023/2024, Матчи команд РПЛ
Сезон 2022/2023, Матчи Локомотива
Сезон 2022/2023, Матчи команд РПЛ
Сезон 2021/2022, Матчи команд РПЛ
Сезон 2021/2022, Матчи Локомотива
Сезон 2020/2021, Матчи команд РПЛ
Сезон 2020/2021, Матчи Локомотива
Сезон 2019/2020, Матчи команд РПЛ
Сезон 2019/2020, Матчи Локомотива
Сезон 2018/2019
Сезон 2017-2018
Сезон 2016-2017
Сезон 2015-2016
Сезон 2014-2015
Продолжение сезона 2013/14
Конкурс прогнозов на матчи "Локомотива" в сезоне 2013/14.
Сезон 2012/13 года
Сезон 2011/12 года
Сезон 2010 года
Сезон 2009 года
Сезон 2008 года

  Правила конкурса прогнозов

 

 


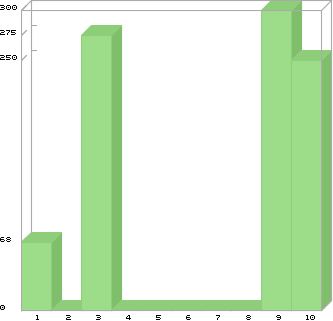
Статистика "wett1" по матчам сезона "Сезон 2012/13 года"

Матч Баллы Место
10 Чемпионат России, 16-й тур: "Крылья Советов" - "Локомотив" 250 / 702 22 / 52
9 Чемпионат России, 15-й тур: "Локомотив" - "Анжи" 300 / 659 10 / 37
8 Чемпионат России, 14-й тур: ЦСКА - "Локомотив" 0 / 420 15 / 15
7 Чемпионат России, 12-й тур: "Ростов" - "Локомотив" 0 / 850 26 / 26
6 Чемпионат России, 11-й тур: "Локомотив" - "Кубань" 0 / 761 20 / 20
5 Чемпионат России, 10-й тур: "Зенит" - "Локомотив" 0 / 323 44 / 44
4 Чемпионат России, 8-й тур: "Локомотив" - "Рубин" 0 / 522 46 / 46
3 Чемпионат России, 7-й тур: "Локомотив" - "Спартак" 275 / 1640 79 / 111
2 Чемпионат России, 4-й тур: "Локомотив" - "Алания" 0 / 1000 55 / 55
1 Чемпионат России, 2-й тур: "Локомотив" - "Крылья Советов" 68 / 500 89 / 106
График выигранных баллов по всем матчам сезона

График занятого места по всем матчам сезона

 

О проекте | В помощь новичку | Техподдержка | Обратная связь | Баннеры сайта | Реклама на сайте | Каталог ссылок
При использовании материалов ссылка на lokomotiv.info - обязательна