Закрыть
Вход
Забыли пароль?
Зарегистрироваться
Войти как пользователь:

Если вы зарегистрированы на одном из этих сайтов, или у вас есть учетная запись OpenID, вы можете войти на Lokomotiv.info, используя имеющийся аккаунт.

Если у вас уже есть профиль на Lokomotiv.info, вы можете “привязать” к нему по одному аккаунту с каждого из представленных сайтов. Выберите сайт и следуйте инструкциям.

Если вы зарегистрированы на других сайтах, авторизуйтесь по протоколу OpenID:

Войти по регистрации на Lokomotiv.info:
Забыли пароль?
Зарегистрироваться
  Блоги  | Гостевая | Люди | Библиотека | Прогнозы | Мозаика | Картинки | Подписка
Прогнозы
 
Сезон 2025/2026, Матчи Локомотива
Сезон 2025/2026, Матчи команд РПЛ
Сезон 2024/2025, Матчи Локомотива
Сезон 2024/2025, Матчи команд РПЛ
Сезон 2023/2024, Матчи Локомотива
Сезон 2023/2024, Матчи команд РПЛ
Сезон 2022/2023, Матчи Локомотива
Сезон 2022/2023, Матчи команд РПЛ
Сезон 2021/2022, Матчи команд РПЛ
Сезон 2021/2022, Матчи Локомотива
Сезон 2020/2021, Матчи команд РПЛ
Сезон 2020/2021, Матчи Локомотива
Сезон 2019/2020, Матчи команд РПЛ
Сезон 2019/2020, Матчи Локомотива
Сезон 2018/2019
Сезон 2017-2018
Сезон 2016-2017
Сезон 2015-2016
Сезон 2014-2015
Продолжение сезона 2013/14
Конкурс прогнозов на матчи "Локомотива" в сезоне 2013/14.
Сезон 2012/13 года
Сезон 2011/12 года
Сезон 2010 года
Сезон 2009 года
Сезон 2008 года

  Правила конкурса прогнозов

 

 


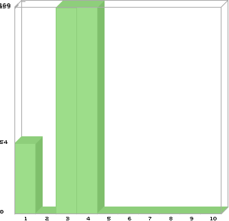
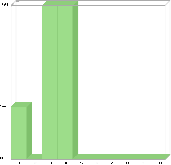
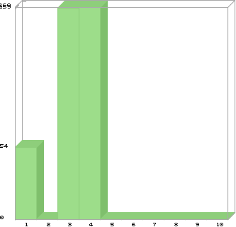
Статистика "MoDul" по матчам сезона "Сезон 2008 года"

Матч Баллы Место
10 Чемпионат России, 15-й тур: ФК Москва - Локомотив 0 / 2386 89 / 89
9 Сборные, ЕВРО 2008: Россия - Испания 0 / 640 67 / 67
8 Сборные, товарищеский матч: Россия - Сербия 0 / 380 49 / 49
7 Чемпионат России, 8-й тур: Локомотив - Луч-Энергия 0 / 680 71 / 71
6 Чемпионат России, 7-й тур: Локомотив - Спартак (Нальчик) 0 / 630 55 / 55
5 Чемпионат России, 5-й тур: Локомотив - Терек 0 / 600 145 / 145
4 Чемпионат России, 3-й тур: Локомотив - Крылья Советов 160 / 345 17 / 92
3 Сборные, товарищеский матч: Румыния - Россия 159 / 225 5 / 42
2 Чемпионат России, 2-й тур: Шинник - Локомотив 0 / 1036 139 / 139
1 Чемпионат России, 1-й тур: Локомотив - Рубин 54 / 432 41 / 67
График выигранных баллов по всем матчам сезона

График занятого места по всем матчам сезона

 

О проекте | В помощь новичку | Техподдержка | Обратная связь | Баннеры сайта | Реклама на сайте | Каталог ссылок
При использовании материалов ссылка на lokomotiv.info - обязательна