Закрыть
Вход
Забыли пароль?
Зарегистрироваться
Войти как пользователь:

Если вы зарегистрированы на одном из этих сайтов, или у вас есть учетная запись OpenID, вы можете войти на Lokomotiv.info, используя имеющийся аккаунт.

Если у вас уже есть профиль на Lokomotiv.info, вы можете “привязать” к нему по одному аккаунту с каждого из представленных сайтов. Выберите сайт и следуйте инструкциям.

Если вы зарегистрированы на других сайтах, авторизуйтесь по протоколу OpenID:

Войти по регистрации на Lokomotiv.info:
Забыли пароль?
Зарегистрироваться
  Блоги  | Гостевая | Люди | Библиотека | Прогнозы | Мозаика | Картинки | Подписка
Прогнозы
 
Сезон 2025/2026, Матчи Локомотива
Сезон 2025/2026, Матчи команд РПЛ
Сезон 2024/2025, Матчи Локомотива
Сезон 2024/2025, Матчи команд РПЛ
Сезон 2023/2024, Матчи Локомотива
Сезон 2023/2024, Матчи команд РПЛ
Сезон 2022/2023, Матчи Локомотива
Сезон 2022/2023, Матчи команд РПЛ
Сезон 2021/2022, Матчи команд РПЛ
Сезон 2021/2022, Матчи Локомотива
Сезон 2020/2021, Матчи команд РПЛ
Сезон 2020/2021, Матчи Локомотива
Сезон 2019/2020, Матчи команд РПЛ
Сезон 2019/2020, Матчи Локомотива
Сезон 2018/2019
Сезон 2017-2018
Сезон 2016-2017
Сезон 2015-2016
Сезон 2014-2015
Продолжение сезона 2013/14
Конкурс прогнозов на матчи "Локомотива" в сезоне 2013/14.
Сезон 2012/13 года
Сезон 2011/12 года
Сезон 2010 года
Сезон 2009 года
Сезон 2008 года

  Правила конкурса прогнозов

 

 


Статистика "Kane_ekb" по матчам сезона "Сезон 2011/12 года"

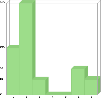
Матч Баллы Место
7 ЧЕ-2012, отборочные матчи: сборная России - сборная Андорры 51 / 928 46 / 53
6 Чемпионат России, 26-й тур: "Анжи" - "Локомотив" 87 / 550 52 / 68
5 Лига Европы, группа: "Локомотив" - "Андерлехт" 0 / 1220 31 / 31
4 Чемпионат России, 25-й тур: "Локомотив" - "Рубин" 0 / 403 39 / 39
3 Кубок России, 1/8 финала: "Локомотив" - "Луч-Энергия" 50 / 2775 32 / 46
2 Чемпионат России, 24-й тур: "Терек" - "Локомотив" 310 / 800 26 / 107
1 Чемпионат России, 23-й тур: "Локомотив" - "Зенит" 158 / 1980 71 / 102
График выигранных баллов по всем матчам сезона

График занятого места по всем матчам сезона

 

О проекте | В помощь новичку | Техподдержка | Обратная связь | Баннеры сайта | Реклама на сайте | Каталог ссылок
При использовании материалов ссылка на lokomotiv.info - обязательна