Закрыть
Вход
Забыли пароль?
Зарегистрироваться
Войти как пользователь:

Если вы зарегистрированы на одном из этих сайтов, или у вас есть учетная запись OpenID, вы можете войти на Lokomotiv.info, используя имеющийся аккаунт.

Если у вас уже есть профиль на Lokomotiv.info, вы можете “привязать” к нему по одному аккаунту с каждого из представленных сайтов. Выберите сайт и следуйте инструкциям.

Если вы зарегистрированы на других сайтах, авторизуйтесь по протоколу OpenID:

Войти по регистрации на Lokomotiv.info:
Забыли пароль?
Зарегистрироваться
  Блоги  | Гостевая | Люди | Библиотека | Прогнозы | Мозаика | Картинки | Подписка
Прогнозы
 
Сезон 2025/2026, Матчи Локомотива
Сезон 2025/2026, Матчи команд РПЛ
Сезон 2024/2025, Матчи Локомотива
Сезон 2024/2025, Матчи команд РПЛ
Сезон 2023/2024, Матчи Локомотива
Сезон 2023/2024, Матчи команд РПЛ
Сезон 2022/2023, Матчи Локомотива
Сезон 2022/2023, Матчи команд РПЛ
Сезон 2021/2022, Матчи команд РПЛ
Сезон 2021/2022, Матчи Локомотива
Сезон 2020/2021, Матчи команд РПЛ
Сезон 2020/2021, Матчи Локомотива
Сезон 2019/2020, Матчи команд РПЛ
Сезон 2019/2020, Матчи Локомотива
Сезон 2018/2019
Сезон 2017-2018
Сезон 2016-2017
Сезон 2015-2016
Сезон 2014-2015
Продолжение сезона 2013/14
Конкурс прогнозов на матчи "Локомотива" в сезоне 2013/14.
Сезон 2012/13 года
Сезон 2011/12 года
Сезон 2010 года
Сезон 2009 года
Сезон 2008 года

  Правила конкурса прогнозов

 

 


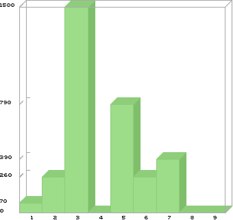
Статистика "Nilmar" по матчам сезона "Сезон 2011/12 года"

Матч Баллы Место
9 Чемпионат России, 25-й тур: "Локомотив" - "Рубин" 0 / 403 39 / 39
8 Кубок России, 1/8 финала: "Локомотив" - "Луч-Энергия" 0 / 2775 46 / 46
7 Чемпионат России, 24-й тур: "Терек" - "Локомотив" 390 / 800 13 / 107
6 Лига Европы, группа: "Штурм" - "Локомотив" 260 / 1010 49 / 103
5 Чемпионат России, 23-й тур: "Локомотив" - "Зенит" 790 / 1980 10 / 102
4 ЧЕ-2012, отборочные матчи: сборная России - сборная Ирландии 0 / 670 31 / 31
3 Чемпионат России, 22-й тур: "Кубань" - "Локомотив" 1500 / 1650 5 / 92
2 Лига Европы, плей-офф: "Спартак" Трнава - "Локомотив" 260 / 780 9 / 50
1 Лига Европы, плей-офф: "Локомотив" - "Спартак" Трнава 70 / 450 45 / 60
График выигранных баллов по всем матчам сезона

График занятого места по всем матчам сезона

 

О проекте | В помощь новичку | Техподдержка | Обратная связь | Баннеры сайта | Реклама на сайте | Каталог ссылок
При использовании материалов ссылка на lokomotiv.info - обязательна