Закрыть
Вход
Забыли пароль?
Зарегистрироваться
Войти как пользователь:

Если вы зарегистрированы на одном из этих сайтов, или у вас есть учетная запись OpenID, вы можете войти на Lokomotiv.info, используя имеющийся аккаунт.

Если у вас уже есть профиль на Lokomotiv.info, вы можете “привязать” к нему по одному аккаунту с каждого из представленных сайтов. Выберите сайт и следуйте инструкциям.

Если вы зарегистрированы на других сайтах, авторизуйтесь по протоколу OpenID:

Войти по регистрации на Lokomotiv.info:
Забыли пароль?
Зарегистрироваться
  Блоги  | Гостевая | Люди | Библиотека | Прогнозы | Мозаика | Картинки | Подписка
Прогнозы
 
Сезон 2025/2026, Матчи Локомотива
Сезон 2025/2026, Матчи команд РПЛ
Сезон 2024/2025, Матчи Локомотива
Сезон 2024/2025, Матчи команд РПЛ
Сезон 2023/2024, Матчи Локомотива
Сезон 2023/2024, Матчи команд РПЛ
Сезон 2022/2023, Матчи Локомотива
Сезон 2022/2023, Матчи команд РПЛ
Сезон 2021/2022, Матчи команд РПЛ
Сезон 2021/2022, Матчи Локомотива
Сезон 2020/2021, Матчи команд РПЛ
Сезон 2020/2021, Матчи Локомотива
Сезон 2019/2020, Матчи команд РПЛ
Сезон 2019/2020, Матчи Локомотива
Сезон 2018/2019
Сезон 2017-2018
Сезон 2016-2017
Сезон 2015-2016
Сезон 2014-2015
Продолжение сезона 2013/14
Конкурс прогнозов на матчи "Локомотива" в сезоне 2013/14.
Сезон 2012/13 года
Сезон 2011/12 года
Сезон 2010 года
Сезон 2009 года
Сезон 2008 года

  Правила конкурса прогнозов

 

 


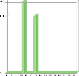
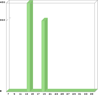
Статистика "ИИЛ" по матчам сезона "Сезон 2019/2020, Матчи Локомотива"

Матч Баллы Место
36 Чемпионат России, 30-й тур: "Урал" — "Локомотив" 0 / 450 16 / 16
35 Чемпионат России, 29-й тур: "Локомотив" — "ЦСКА" 0 / 502 19 / 19
34 Чемпионат России, 28-й тур: "Локомотив" — "Уфа" 0 / 240 12 / 12
33 Чемпионат России, 27-й тур: "Спартак" — "Локомотив" 0 / 488 18 / 18
32 Чемпионат России, 26-й тур: "Локомотив" — "Сочи" 0 / 153 11 / 11
31 Чемпионат России, 25-й тур: "Локомотив" — "Крылья Советов" 0 / 640 22 / 22
30 Чемпионат России, 24-й тур: "Рубин" — "Локомотив" 0 / 725 25 / 25
29 Чемпионат России, 23-й тур: "Локомотив" — "Оренбург" 0 / 600 23 / 23
28 Чемпионат России, 22-й тур: "Ростов" — "Локомотив" 0 / 810 25 / 25
27 Чемпионат России, 21-й тур: "Локомотив" — "Ахмат" 0 / 460 22 / 22
26 Чемпионат России, 20-й тур: "Зенит" — "Локомотив" 0 / 540 17 / 17
25 Лига чемпионов, Тур 6: "Атлетико" — "Локомотив" 0 / 225 18 / 18
24 Чемпионат России, 19-й тур: "Арсенал Тула" — "Локомотив" 0 / 715 21 / 21
23 Чемпионат России, 18-й тур: "Локомотив" — "Динамо" 0 / 286 20 / 20
22 Лига чемпионов, Тур 5: "Локомотив" — "Байер 04" 0 / 600 18 / 18
21 Чемпионат России, 17-й тур: "Тамбов" — "Локомотив" 0 / 1560 23 / 23
20 Чемпионат России, 16-й тур: "Локомотив" — "Краснодар" 0 / 576 23 / 23
19 Лига чемпионов, Тур 4: "Локомотив" — "Ювентус" 360 / 714 3 / 27
18 Чемпионат России, 15-й тур: "Уфа" — "Локомотив" 0 / 262 24 / 24
17 Чемпионат России, 14-й тур: "Локомотив" — "Спартак" 0 / 679 19 / 19
16 Лига чемпионов, Тур 3: "Ювентус" — "Локомотив" 0 / 615 25 / 25
15 Чемпионат России, 13-й тур: "Ахмат" — "Локомотив" 0 / 770 34 / 34
14 Чемпионат России, 12-й тур: "Локомотив" — "Арсенал Тула" 450 / 450 1 / 32
13 Лига чемпионов, Тур 2: "Локомотив" — "Атлетико" 0 / 437 18 / 18
12 Чемпионат России, 11-й тур: "Локомотив" — "Зенит" 0 / 276 23 / 23
11 Кубок России, 1/16 финала: «Балтика» — «Локомотив» 0 / 960 31 / 31
10 Чемпионат России, 10-й тур: "Оренбург" — "Локомотив" 0 / 2040 39 / 39
9 Лига чемпионов, Тур 1: "Байер 04" — "Локомотив" 0 / 1403 38 / 38
8 Чемпионат России, 9-й тур: "Сочи" — "Локомотив" 0 / 240 26 / 26
7 Чемпионат России, 8-й тур: "Локомотив" — "Ростов" 0 / 271 31 / 31
График выигранных баллов по всем матчам сезона

График занятого места по всем матчам сезона

 

О проекте | В помощь новичку | Техподдержка | Обратная связь | Баннеры сайта | Реклама на сайте | Каталог ссылок
При использовании материалов ссылка на lokomotiv.info - обязательна