Закрыть
Вход
Забыли пароль?
Зарегистрироваться
Войти как пользователь:

Если вы зарегистрированы на одном из этих сайтов, или у вас есть учетная запись OpenID, вы можете войти на Lokomotiv.info, используя имеющийся аккаунт.

Если у вас уже есть профиль на Lokomotiv.info, вы можете “привязать” к нему по одному аккаунту с каждого из представленных сайтов. Выберите сайт и следуйте инструкциям.

Если вы зарегистрированы на других сайтах, авторизуйтесь по протоколу OpenID:

Войти по регистрации на Lokomotiv.info:
Забыли пароль?
Зарегистрироваться
  Блоги  | Гостевая | Люди | Библиотека | Прогнозы | Мозаика | Картинки | Подписка
Прогнозы
 
Сезон 2025/2026, Матчи Локомотива
Сезон 2025/2026, Матчи команд РПЛ
Сезон 2024/2025, Матчи Локомотива
Сезон 2024/2025, Матчи команд РПЛ
Сезон 2023/2024, Матчи Локомотива
Сезон 2023/2024, Матчи команд РПЛ
Сезон 2022/2023, Матчи Локомотива
Сезон 2022/2023, Матчи команд РПЛ
Сезон 2021/2022, Матчи команд РПЛ
Сезон 2021/2022, Матчи Локомотива
Сезон 2020/2021, Матчи команд РПЛ
Сезон 2020/2021, Матчи Локомотива
Сезон 2019/2020, Матчи команд РПЛ
Сезон 2019/2020, Матчи Локомотива
Сезон 2018/2019
Сезон 2017-2018
Сезон 2016-2017
Сезон 2015-2016
Сезон 2014-2015
Продолжение сезона 2013/14
Конкурс прогнозов на матчи "Локомотива" в сезоне 2013/14.
Сезон 2012/13 года
Сезон 2011/12 года
Сезон 2010 года
Сезон 2009 года
Сезон 2008 года

  Правила конкурса прогнозов

 

 


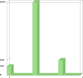
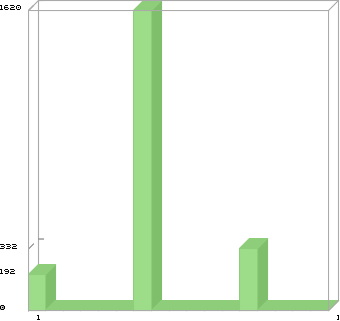
Статистика "Goodace" по матчам сезона "Сезон 2011/12 года"

Матч Баллы Место
17 Чемпионат России, 44-й тур: "Локомотив" - "Спартак" 0 / 650 24 / 24
16 Чемпионат России, 42-й тур: "Локомотив" - ЦСКА 0 / 1790 31 / 31
15 Чемпионат России, 41-й тур: "Анжи" - "Локомотив" 0 / 1166 24 / 24
14 Чемпионат России, 40-й тур: "Локомотив" - "Рубин" 0 / 650 27 / 27
13 Чемпионат России, 39-й тур: "Кубань" - "Локомотив" 332 / 622 9 / 39
12 Чемпионат России, 38-й тур: "Локомотив" - "Зенит" 0 / 350 22 / 22
11 Чемпионат России, 37-й тур: "Локомотив" - "Динамо" 0 / 940 31 / 31
10 Чемпионат России, 34-й тур: "Рубин" - "Локомотив" 0 / 470 36 / 36
9 Чемпионат России, 33-й тур: "Локомотив" - "Кубань" 0 / 590 79 / 79
8 Лига Европы, 1/16 финала: "Атлетик" - "Локомотив" 0 / 420 26 / 26
7 Лига Европы, 1/16 финала: "Локомотив" - "Атлетик" 1620 / 2020 2 / 85
6 Лига Европы, группа: АЕК - "Локомотив" 0 / 900 70 / 70
5 Чемпионат России, 29-й тур: "Спартак" - "Локомотив" 0 / 1350 26 / 26
4 ЧЕ-2012, отборочные матчи: сборная России - сборная Андорры 0 / 928 53 / 53
3 ЧЕ-2012, отборочные матчи: сборная Словакии - сборная России 0 / 580 43 / 43
2 Чемпионат России, 26-й тур: "Анжи" - "Локомотив" 0 / 550 68 / 68
1 Чемпионат России, 24-й тур: "Терек" - "Локомотив" 192 / 800 54 / 107
График выигранных баллов по всем матчам сезона

График занятого места по всем матчам сезона

 

О проекте | В помощь новичку | Техподдержка | Обратная связь | Баннеры сайта | Реклама на сайте | Каталог ссылок
При использовании материалов ссылка на lokomotiv.info - обязательна