Закрыть
Вход
Забыли пароль?
Зарегистрироваться
Войти как пользователь:

Если вы зарегистрированы на одном из этих сайтов, или у вас есть учетная запись OpenID, вы можете войти на Lokomotiv.info, используя имеющийся аккаунт.

Если у вас уже есть профиль на Lokomotiv.info, вы можете “привязать” к нему по одному аккаунту с каждого из представленных сайтов. Выберите сайт и следуйте инструкциям.

Если вы зарегистрированы на других сайтах, авторизуйтесь по протоколу OpenID:

Войти по регистрации на Lokomotiv.info:
Забыли пароль?
Зарегистрироваться
  Блоги  | Гостевая | Люди | Библиотека | Прогнозы | Мозаика | Картинки | Подписка
Прогнозы
 
Сезон 2025/2026, Матчи Локомотива
Сезон 2025/2026, Матчи команд РПЛ
Сезон 2024/2025, Матчи Локомотива
Сезон 2024/2025, Матчи команд РПЛ
Сезон 2023/2024, Матчи Локомотива
Сезон 2023/2024, Матчи команд РПЛ
Сезон 2022/2023, Матчи Локомотива
Сезон 2022/2023, Матчи команд РПЛ
Сезон 2021/2022, Матчи команд РПЛ
Сезон 2021/2022, Матчи Локомотива
Сезон 2020/2021, Матчи команд РПЛ
Сезон 2020/2021, Матчи Локомотива
Сезон 2019/2020, Матчи команд РПЛ
Сезон 2019/2020, Матчи Локомотива
Сезон 2018/2019
Сезон 2017-2018
Сезон 2016-2017
Сезон 2015-2016
Сезон 2014-2015
Продолжение сезона 2013/14
Конкурс прогнозов на матчи "Локомотива" в сезоне 2013/14.
Сезон 2012/13 года
Сезон 2011/12 года
Сезон 2010 года
Сезон 2009 года
Сезон 2008 года

  Правила конкурса прогнозов

 

 


Статистика "andreiobert" по матчам сезона "Конкурс прогнозов на матчи "Локомотива" в сезоне 2013/14."

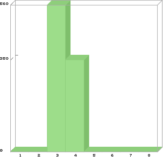
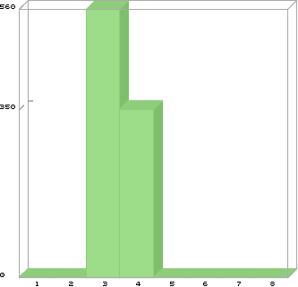
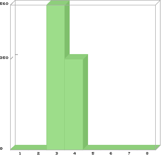
Матч Баллы Место
8 Чемпионат России, 11-й тур: "Локомотив" - "Томь" 0 / 800 29 / 29
7 Чемпионат России, 10-й тур: "Урал" - "Локомотив" 0 / 880 68 / 68
6 Чемпионат России, 8-й тур: "Локомотив" - "Кубань" 0 / 384 34 / 34
5 Чемпионат России, 7-й тур: "Зенит" - "Локомотив" 0 / 371 25 / 25
4 Чемпионат России, 6-й тур: "Локомотив" - "Ростов" 350 / 1300 40 / 98
3 Чемпионат России, 4-й тур: "Локомотив" - "Краснодар" 560 / 1200 14 / 69
2 Чемпионат России, 2-й тур: "Волга" - "Локомотив" 0 / 434 49 / 49
1 Чемпионат России, 1-й тур: "Анжи" - "Локомотив" 0 / 1314 73 / 73
График выигранных баллов по всем матчам сезона

График занятого места по всем матчам сезона

 

О проекте | В помощь новичку | Техподдержка | Обратная связь | Баннеры сайта | Реклама на сайте | Каталог ссылок
При использовании материалов ссылка на lokomotiv.info - обязательна