Закрыть
Вход
Забыли пароль?
Зарегистрироваться
Войти как пользователь:

Если вы зарегистрированы на одном из этих сайтов, или у вас есть учетная запись OpenID, вы можете войти на Lokomotiv.info, используя имеющийся аккаунт.

Если у вас уже есть профиль на Lokomotiv.info, вы можете “привязать” к нему по одному аккаунту с каждого из представленных сайтов. Выберите сайт и следуйте инструкциям.

Если вы зарегистрированы на других сайтах, авторизуйтесь по протоколу OpenID:

Войти по регистрации на Lokomotiv.info:
Забыли пароль?
Зарегистрироваться
  Блоги  | Гостевая | Люди | Библиотека | Прогнозы | Мозаика | Картинки | Подписка
Прогнозы
 
Сезон 2025/2026, Матчи Локомотива
Сезон 2025/2026, Матчи команд РПЛ
Сезон 2024/2025, Матчи Локомотива
Сезон 2024/2025, Матчи команд РПЛ
Сезон 2023/2024, Матчи Локомотива
Сезон 2023/2024, Матчи команд РПЛ
Сезон 2022/2023, Матчи Локомотива
Сезон 2022/2023, Матчи команд РПЛ
Сезон 2021/2022, Матчи команд РПЛ
Сезон 2021/2022, Матчи Локомотива
Сезон 2020/2021, Матчи команд РПЛ
Сезон 2020/2021, Матчи Локомотива
Сезон 2019/2020, Матчи команд РПЛ
Сезон 2019/2020, Матчи Локомотива
Сезон 2018/2019
Сезон 2017-2018
Сезон 2016-2017
Сезон 2015-2016
Сезон 2014-2015
Продолжение сезона 2013/14
Конкурс прогнозов на матчи "Локомотива" в сезоне 2013/14.
Сезон 2012/13 года
Сезон 2011/12 года
Сезон 2010 года
Сезон 2009 года
Сезон 2008 года

  Правила конкурса прогнозов

 

 


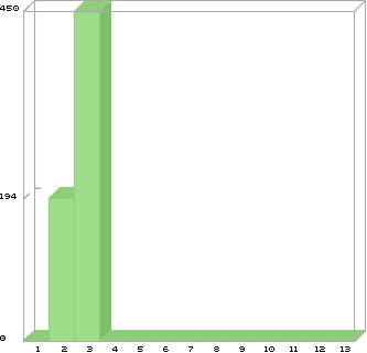
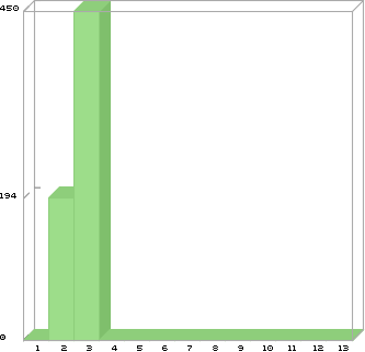
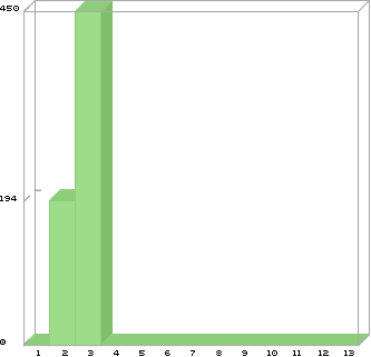
Статистика "lokomot76" по матчам сезона "Сезон 2011/12 года"

Матч Баллы Место
13 Чемпионат России, 33-й тур: "Локомотив" - "Кубань" 0 / 590 79 / 79
12 Чемпионат России, 32-й тур: "Зенит" - "Локомотив" 0 / 900 41 / 41
11 Чемпионат России, 31-й тур: "Спартак" - "Локомотив" 0 / 824 21 / 21
10 Чемпионат России, 29-й тур: "Спартак" - "Локомотив" 0 / 1350 26 / 26
9 Чемпионат России, 28-й тур: "Спартак-Нальчик" - "Локомотив" 0 / 1620 50 / 50
8 Чемпионат России, 25-й тур: "Локомотив" - "Рубин" 0 / 403 39 / 39
7 Кубок России, 1/8 финала: "Локомотив" - "Луч-Энергия" 0 / 2775 46 / 46
6 Чемпионат России, 22-й тур: "Кубань" - "Локомотив" 0 / 1650 92 / 92
5 Лига Европы, плей-офф: "Спартак" Трнава - "Локомотив" 0 / 780 50 / 50
4 Чемпионат России, 19-й тур: "Локомотив" - "Крылья Советов" 0 / 385 35 / 35
3 Чемпионат России, 18-й тур: "Ростов" - "Локомотив" 450 / 1860 48 / 132
2 Чемпионат России, 13-й тур: "Локомотив" - "Спартак-Нальчик" 194 / 972 51 / 111
1 Чемпионат России, 12-й тур: "Томь" - "Локомотив" 0 / 1260 57 / 57
График выигранных баллов по всем матчам сезона

График занятого места по всем матчам сезона

 

О проекте | В помощь новичку | Техподдержка | Обратная связь | Баннеры сайта | Реклама на сайте | Каталог ссылок
При использовании материалов ссылка на lokomotiv.info - обязательна