Закрыть
Вход
Забыли пароль?
Зарегистрироваться
Войти как пользователь:

Если вы зарегистрированы на одном из этих сайтов, или у вас есть учетная запись OpenID, вы можете войти на Lokomotiv.info, используя имеющийся аккаунт.

Если у вас уже есть профиль на Lokomotiv.info, вы можете “привязать” к нему по одному аккаунту с каждого из представленных сайтов. Выберите сайт и следуйте инструкциям.

Если вы зарегистрированы на других сайтах, авторизуйтесь по протоколу OpenID:

Войти по регистрации на Lokomotiv.info:
Забыли пароль?
Зарегистрироваться
  Блоги  | Гостевая | Люди | Библиотека | Прогнозы | Мозаика | Картинки | Подписка
Прогнозы
 
Сезон 2025/2026, Матчи Локомотива
Сезон 2025/2026, Матчи команд РПЛ
Сезон 2024/2025, Матчи Локомотива
Сезон 2024/2025, Матчи команд РПЛ
Сезон 2023/2024, Матчи Локомотива
Сезон 2023/2024, Матчи команд РПЛ
Сезон 2022/2023, Матчи Локомотива
Сезон 2022/2023, Матчи команд РПЛ
Сезон 2021/2022, Матчи команд РПЛ
Сезон 2021/2022, Матчи Локомотива
Сезон 2020/2021, Матчи команд РПЛ
Сезон 2020/2021, Матчи Локомотива
Сезон 2019/2020, Матчи команд РПЛ
Сезон 2019/2020, Матчи Локомотива
Сезон 2018/2019
Сезон 2017-2018
Сезон 2016-2017
Сезон 2015-2016
Сезон 2014-2015
Продолжение сезона 2013/14
Конкурс прогнозов на матчи "Локомотива" в сезоне 2013/14.
Сезон 2012/13 года
Сезон 2011/12 года
Сезон 2010 года
Сезон 2009 года
Сезон 2008 года

  Правила конкурса прогнозов

 

 


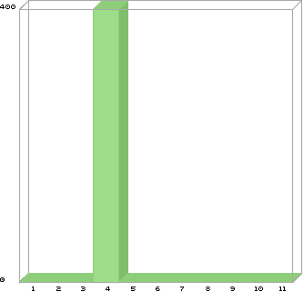
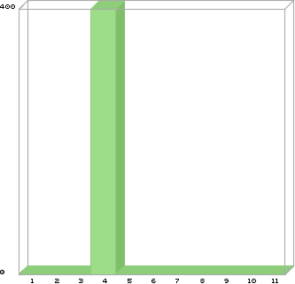
Статистика "Локо90" по матчам сезона "Сезон 2019/2020, Матчи Локомотива"

Матч Баллы Место
11 Чемпионат России, 30-й тур: "Урал" — "Локомотив" 0 / 450 16 / 16
10 Чемпионат России, 26-й тур: "Локомотив" — "Сочи" 0 / 153 11 / 11
9 Чемпионат России, 25-й тур: "Локомотив" — "Крылья Советов" 0 / 640 22 / 22
8 Чемпионат России, 24-й тур: "Рубин" — "Локомотив" 0 / 725 25 / 25
7 Чемпионат России, 23-й тур: "Локомотив" — "Оренбург" 0 / 600 23 / 23
6 Чемпионат России, 21-й тур: "Локомотив" — "Ахмат" 0 / 460 22 / 22
5 Лига чемпионов, Тур 6: "Атлетико" — "Локомотив" 0 / 225 18 / 18
4 Лига чемпионов, Тур 5: "Локомотив" — "Байер 04" 400 / 600 3 / 18
3 Лига чемпионов, Тур 3: "Ювентус" — "Локомотив" 0 / 615 25 / 25
2 Лига чемпионов, Тур 2: "Локомотив" — "Атлетико" 0 / 437 18 / 18
1 Лига чемпионов, Тур 1: "Байер 04" — "Локомотив" 0 / 1403 38 / 38
График выигранных баллов по всем матчам сезона

График занятого места по всем матчам сезона

 

О проекте | В помощь новичку | Техподдержка | Обратная связь | Баннеры сайта | Реклама на сайте | Каталог ссылок
При использовании материалов ссылка на lokomotiv.info - обязательна