Закрыть
Вход
Забыли пароль?
Зарегистрироваться
Войти как пользователь:

Если вы зарегистрированы на одном из этих сайтов, или у вас есть учетная запись OpenID, вы можете войти на Lokomotiv.info, используя имеющийся аккаунт.

Если у вас уже есть профиль на Lokomotiv.info, вы можете “привязать” к нему по одному аккаунту с каждого из представленных сайтов. Выберите сайт и следуйте инструкциям.

Если вы зарегистрированы на других сайтах, авторизуйтесь по протоколу OpenID:

Войти по регистрации на Lokomotiv.info:
Забыли пароль?
Зарегистрироваться
  Блоги  | Гостевая | Люди | Библиотека | Прогнозы | Мозаика | Картинки | Подписка
Прогнозы
 
Сезон 2025/2026, Матчи Локомотива
Сезон 2025/2026, Матчи команд РПЛ
Сезон 2024/2025, Матчи Локомотива
Сезон 2024/2025, Матчи команд РПЛ
Сезон 2023/2024, Матчи Локомотива
Сезон 2023/2024, Матчи команд РПЛ
Сезон 2022/2023, Матчи Локомотива
Сезон 2022/2023, Матчи команд РПЛ
Сезон 2021/2022, Матчи команд РПЛ
Сезон 2021/2022, Матчи Локомотива
Сезон 2020/2021, Матчи команд РПЛ
Сезон 2020/2021, Матчи Локомотива
Сезон 2019/2020, Матчи команд РПЛ
Сезон 2019/2020, Матчи Локомотива
Сезон 2018/2019
Сезон 2017-2018
Сезон 2016-2017
Сезон 2015-2016
Сезон 2014-2015
Продолжение сезона 2013/14
Конкурс прогнозов на матчи "Локомотива" в сезоне 2013/14.
Сезон 2012/13 года
Сезон 2011/12 года
Сезон 2010 года
Сезон 2009 года
Сезон 2008 года

  Правила конкурса прогнозов

 

 


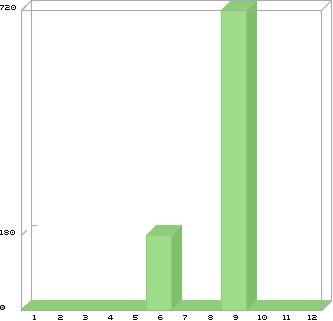
Статистика "tubik7" по матчам сезона "Сезон 2011/12 года"

Матч Баллы Место
12 Чемпионат России, 30-й тур: "Локомотив" - ЦСКА 0 / 600 38 / 38
11 Чемпионат России, 29-й тур: "Спартак" - "Локомотив" 0 / 1350 26 / 26
10 Чемпионат России, 28-й тур: "Спартак-Нальчик" - "Локомотив" 0 / 1620 50 / 50
9 Лига Европы, группа: "Локомотив" - АЕК 720 / 1160 20 / 111
8 Чемпионат России, 27-й тур: "Локомотив" - "Томь" 0 / 960 93 / 93
7 Лига Европы, группа: "Локомотив" - "Андерлехт" 0 / 1220 31 / 31
6 Чемпионат России, 23-й тур: "Локомотив" - "Зенит" 180 / 1980 68 / 102
5 Чемпионат России, 19-й тур: "Локомотив" - "Крылья Советов" 0 / 385 35 / 35
4 Кубок России, 1/16 финала: "Енисей" - "Локомотив" 0 / 558 58 / 58
3 Чемпионат России, 16-й тур: "Динамо" - "Локомотив" 0 / 348 51 / 51
2 Чемпионат России, 15-й тур: ЦСКА - "Локомотив" 0 / 1062 64 / 64
1 Чемпионат России, 14-й тур: "Локомотив" - "Спартак" 0 / 810 40 / 40
График выигранных баллов по всем матчам сезона

График занятого места по всем матчам сезона

 

О проекте | В помощь новичку | Техподдержка | Обратная связь | Баннеры сайта | Реклама на сайте | Каталог ссылок
При использовании материалов ссылка на lokomotiv.info - обязательна