Закрыть
Вход
Забыли пароль?
Зарегистрироваться
Войти как пользователь:

Если вы зарегистрированы на одном из этих сайтов, или у вас есть учетная запись OpenID, вы можете войти на Lokomotiv.info, используя имеющийся аккаунт.

Если у вас уже есть профиль на Lokomotiv.info, вы можете “привязать” к нему по одному аккаунту с каждого из представленных сайтов. Выберите сайт и следуйте инструкциям.

Если вы зарегистрированы на других сайтах, авторизуйтесь по протоколу OpenID:

Войти по регистрации на Lokomotiv.info:
Забыли пароль?
Зарегистрироваться
  Блоги  | Гостевая | Люди | Библиотека | Прогнозы | Мозаика | Картинки | Подписка
Прогнозы
 
Сезон 2025/2026, Матчи Локомотива
Сезон 2025/2026, Матчи команд РПЛ
Сезон 2024/2025, Матчи Локомотива
Сезон 2024/2025, Матчи команд РПЛ
Сезон 2023/2024, Матчи Локомотива
Сезон 2023/2024, Матчи команд РПЛ
Сезон 2022/2023, Матчи Локомотива
Сезон 2022/2023, Матчи команд РПЛ
Сезон 2021/2022, Матчи команд РПЛ
Сезон 2021/2022, Матчи Локомотива
Сезон 2020/2021, Матчи команд РПЛ
Сезон 2020/2021, Матчи Локомотива
Сезон 2019/2020, Матчи команд РПЛ
Сезон 2019/2020, Матчи Локомотива
Сезон 2018/2019
Сезон 2017-2018
Сезон 2016-2017
Сезон 2015-2016
Сезон 2014-2015
Продолжение сезона 2013/14
Конкурс прогнозов на матчи "Локомотива" в сезоне 2013/14.
Сезон 2012/13 года
Сезон 2011/12 года
Сезон 2010 года
Сезон 2009 года
Сезон 2008 года

  Правила конкурса прогнозов

 

 


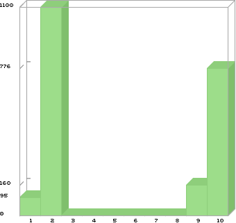
Статистика "VladRGD" по матчам сезона "Сезон 2010 года"

Матч Баллы Место
10 Чемпионат России, 30-й тур: "Локомотив" - "Рубин" 776 / 800 2 / 33
9 Чемпионат России, 29-й тур: "Ростов" - "Локомотив" 160 / 550 30 / 61
8 Чемпионат России, 28-й тур: "Локомотив" - "Сибирь" 0 / 320 37 / 37
7 Чемпионат России, 27-й тур: "Алания" - "Локомотив" 0 / 480 36 / 36
6 Чемпионат России, 24-й тур: "Локомотив" - "Спартак" (Нальчик) 0 / 454 67 / 67
5 Чемпионат России, 22-й тур: "Локомотив" - "Терек" 0 / 499 80 / 80
4 Чемпионат России, 21-й тур: "Томь" - "Локомотив" 0 / 450 47 / 47
3 Чемпионат России, 20-й тур: "Локомотив" - ЦСКА 0 / 540 52 / 52
2 Чемпионат России, 19-й тур: "Локомотив" - "Зенит" 1100 / 1320 2 / 53
1 Чемпионат России, 17-й тур: "Локомотив" - "Спартак" 95 / 680 20 / 51
График выигранных баллов по всем матчам сезона

График занятого места по всем матчам сезона

 

О проекте | В помощь новичку | Техподдержка | Обратная связь | Баннеры сайта | Реклама на сайте | Каталог ссылок
При использовании материалов ссылка на lokomotiv.info - обязательна